INTRODUCCIÓN
La alimentación y la contaminación ambiental son dos factores exógenos que tienen impacto importante en la salud humana. En las últimas seis décadas, las prácticas agropecuarias han utilizado múltiples compuestos sintéticos con la finalidad de mejorar los rendimientos en los cultivos y controlar las plagas. Paralela a esta actividad, se ha perjudicado el ambiente y hay nuevos efectos sobre la salud de los seres vivos. Las consecuencias de estas aplicaciones masivas indican que las matrices vitales del planeta, sean el agua, el aire o el suelo, se han visto afectadas con la presencia de sustancias tóxicas que alcanzan a los alimentos. La contaminación en el medio ambiente ha sido resultante de la actividad antropogénica en la cadena alimentaria que interacciona con residuos y agroquímicos industriales, condiciones geográficas y presiones socioeconómicas (1).
El registro realizado por la Organización de las Naciones Unidas para la Alimentación (FAO) mostró que en el año 2013 se aplicaron 1,29 millones de toneladas de plaguicidas en la producción de 23,34 billones de toneladas de alimentos y productos industriales (2). El número de plaguicidas en 2016 se calculó en 6400 ingredientes activos que, al combinarse con materiales inertes para sus aplicaciones, su cifra se elevó a más de 100 000 productos comerciales (3). Dada su naturaleza y su abundante manejo, se han presentado daños ambientales y sanitarios. La contaminación por plaguicidas se considera un importante problema de salud pública y veterinaria en el mundo, y sigue siendo la causa de 370 000 muertes anuales de humanos y afectación de animales (4,5). En México, en 2016 la Dirección General de Epidemiología reportó alrededor de 4000 casos de intoxicaciones (6).
El organismo mexicano AMIFAC (7), en su informe de 2013 señaló que el 44 % de las intoxicaciones estuvieron relacionadas con la vía oral y solo el 1 % de las mismas correspondía a los organoclorados. AMIFAC también informó que, a partir del 19 de agosto de 2013, el proyecto de Norma Mexicana NOM-000-SAG-FITO/SSA1-2013 (8) establecería y revisaría los Límites de Residuos Permitidos (LMR) y los Lineamientos Técnicos y Procedimientos de Autorización y Revisión de los plaguicidas en el país. El Diario Oficial de la Federación mostró que los LMR de los plaguicidas seguían las normas internacionales del Codex Alimentarius (9). La Comisión Federal para la Protección contra Riesgos Sanitarios (COFEPRIS) no registra al xenobiótico en cuestión en su Catálogo de Plaguicidas Registrados de 2016.
RISCTOX ha consensado una base de datos que agrupa 100 000 compuestos químicos peligrosos presentes en el planeta, entre los cuales figuran diversos tipos de plaguicidas (10). Entre los persistentes organoclorados se identifica al heptacloro (H) con el clave RD 363/1995 y Ficha Internacional de Seguridad Química (INSHT) 0743. En referencia clara con la salud, lo categoriza como persistente, bioacumulable, tóxico, disruptor endocrino, neurotóxico y carcinogénico; con relación al medioambiente, le atribuye influencia como tóxico severo en los medios acuáticos, con daño a la capa de ozono, a la calidad del aire y factor del cambio climático. La Agencia de protección Ambiental EPA y el registro oficial de sustancias peligrosas, ATSDR, en los E.U.A. lo catalogan con el número 210.
El heptacloro es un plaguicida organoclorado que puede persistir en el medio ambiente y que provoca un problema ambiental con efectos crónicos sobre la salud humana y animal (5). En el mercado puede encontrarse con los nombres de Drinox, Heptagrán, Heptox, Vesicol, entre otros, y sus usos son como termicida e insecticida. A pesar que el uso actual de los organoclorados no es mayoritario, García-Hernández et al. (11) reportaron una contribución del 8 % de estos compuestos en el estado de Nayarit. Como una consecuencia de su persistencia, aún se le encuentra presente en recursos abióticos, ecosistemas, poblaciones animales y alimentos.
El presente trabajo tiene como objetivos realizar una revisión sobre la presencia del heptacloro en diferentes matrices, constatar su persistencia y mostrar estudios que evidencian sus efectos en la salud. Asimismo, señalar los métodos de identificación y cuantificación del compuesto original heptacloro (1,4,5,6,7,8,8-heptacloro-3α,4,7,7α,tetrahidro-4,7-endo-metilenindeno) y su metabolito, el epóxido de heptacloro (1,4,5,6,7,8,8-heptacloro-2,3-epoxi-3α,4,7,7α,tetrahidro-4,7-endo-metil-enindeno), teniendo en cuenta que el primero ha sido aplicado bajo diez denominaciones, aproximadamente, y múltiples formulaciones durante 60 años en las prácticas agropecuarias en el país.
Características y utilización del heptacloro
Fendick et al. (12) refieren que desde 1952 el compuesto se empezó a usar como un insecticida doméstico y agrícola y ya en 1984 estaba registrado para todos los propósitos, excepto como termicida subterráneo. Al ser aplicado en los sistemas terrestres, se han contaminado el agua y el aire por los procesos de volatilización y lixiviación. Adicionalmente, se transporta hasta los organismos y los alimentos y ahí sufre transformaciones. Su principal derivado en el suelo es el 1-hidroxiclordano y en los organismos es su epóxido.
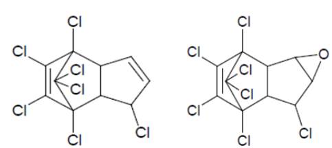
Las perturbaciones en el medio ambiente, que repercuten en la salud humana y animal, son consecuencias derivadas de su naturaleza. Los siete átomos de cloro presentes, tanto en el compuesto progenitor como en su derivado, así como la función epóxido en el segundo, le imparten capacidades tóxicas (Fig. 1). Su estructura química manifiesta estabilidad y tiene como consecuencia una vida media larga, característica de la cual depende la persistencia. Entre las características señaladas en la Tabla 1, se pone de manifiesto el coeficiente de partición, que es la base de su elevada lipoficidad y, por tanto, de su difícil excreción; a su vez, la presión de vapor lo relaciona con la volatilidad. La estrecha relación entre la estructura y las propiedades fisicoquímicas del heptacloro lo hacen responsable de su acción sobre los organismos y el ambiente.
Fig. 1.
Estructura química del heptacloro (izquierda) y del epóxido de heptacloro (derecha)./ Chemical Structure of heptachlor (left) and heptachlor epoxide (right).
Tabla 1.
Propiedades físicoquímicas del heptacloro./ Physicochemical properties of heptachlor.
Fuente: Tomlin (13)
Presencia de heptacloro en recursos abióticos
Las aplicaciones del H han tenido objetivos agrícolas y sanitarios mediante el control de organismos que disminuyen los rendimientos de cultivos o de vectores que causan enfermedades. Las aplicaciones con fines industriales y domésticos han sido en menor escala como se señala en la Tabla 2. Pese a los beneficios en la productividad agrícola y en el control sanitario, estas sustancias se relacionan con la generación de procesos contaminantes en recursos abióticos y bióticos (15, 16). El plaguicida se ha reportado en matrices abióticas de agua, suelos, sedimentos y aire; desde ellas, y por efecto de las cadenas tróficas, estas sustancias se transportan hasta los recursos bióticos (16, 17, 18).
Tabla 2.
Usos del heptacloro./ Uses of heptachlor.
| Agrícola |
|
| Doméstico | Control de termitas e insectos |
| Salud pública | Control de vectores de malaria |
| Industrial | Componentes de pegamentos para madera |
(Fuente: Heptachlor and heptachlor epoxide (14).
Se observa que la variabilidad en los datos responde a múltiples factores; unos referidos al plaguicida y su manejo y otros a los modelos productivos. Participan, con su efectividad y toxicidad, la naturaleza del xenobiótico, sus aditivos, la dosis, la frecuencia de aplicación, la respuesta del organismo diana y las condiciones climáticas. Con relación al modelo productivo, intervienen las políticas de soberanía alimentaria, los sistemas de salud pública, los acuerdos ecológicos, la normatividad en el uso de agroquímicos, el desarrollo socio-económico del país, así como sus relaciones de transferencia tecnológica con la comunidad internacional. Como un ejemplo, se muestra el registro de El-Kabbany et al. (19) en agua superficial con una elevada contaminación. Las concentraciones elevadas evidencian el fenómeno de bioacumulación (19), que sucede también en los sedimentos lacustres o marinos, mientras que la contaminación en el aire es menor (15,16,17). A continuación, se presentan datos que cuantifican la presencia de heptacloro en recursos abióticos en el país.
Presencia del heptacloro en recursos bióticos
El examen de su presencia en alimentos ratifica la pertinencia del conocimiento sobre el heptacloro. Entre estos se ha seleccionado la leche por su amplio consumo, el contenido graso que posee y la convención internacional promovida por la FAO al considerarlo un indicador de contaminación ambiental.
Al analizar diversas modalidades de leche producida en México, entre ellas la leche vacuna pasteurizada, la de un sistema orgánico, de cabra o de fórmulas infantiles, aparecen condiciones de inocuidad objetables al superar la norma internacional del Codex Alimentarius, 2015 (20-24). La Tabla 3 muestra qué leche de cabra de Querétaro manifestó frecuencia de heptacloro en 95,4 % y la concentración seis veces superior a la norma (20). La leche pasteurizada proveniente de Guadalajara alcanzó 0,15 µg.g-1 (25), mientras que las muestras del Complejo industrial lechero de Tizayuca, Hidalgo, lo contuvieron en el límite (22). Un sistema orgánico en Chiapas en 2012 reportó la suma de heptacloro + epóxido de heptacloro en 0,67 µg.g-1 y cuatro años después mostró que la suma de organoclorados alcanzó el valor de 311 µg.g-1 (23). Asimismo, las fórmulas lácteas infantiles superaron el valor establecido por los organismos internacionales (24).
Tabla 3.
Presencia de heptacloro + epóxido de heptacloro en alimentos lácteos mexicanos (µg/g base grasa)./ Presence of heptachlor + heptachlor epoxide in Mexican dairy food (µg/g fat base)
LMR : Codex Alimentarius 0.006 µg/g base grasa
Las estimaciones de este plaguicida en recursos bióticos expresan que el transporte de las sustancias por las cadenas tróficas permite la acumulación y biomagnificación de los mismos (32). Los resultados presentados en la Tabla 4 muestran contenidos del H en sedimentos en el sureste (27) y en el norte del país (28); en Chiapas se encontró que sus valores son excesivos. Su presencia en peces (29), en ranas (30), en almeja (31), aves (33) y en tejido de ganado vacuno (26) tiene valores semejantes, los cuales superan la norma internacional. La contaminación con H en suelos agrícolas de 24 zonas, con una superficie de 5440 ha en Río Verde en San Luis Potosí, se reportó con una frecuencia de 91 %. En estas condiciones se ven afectados cultivos de maíz, tomate, alfalfa y chile (34). Los trabajos de Pérez et al. (35) muestran que el proyecto “América del Sur” creado en 2007 tuvo por objeto evaluar residuos de plaguicidas en ocho países. Las primeras determinaciones mostraron que solo 19 % de las muestras estaba libre de plaguicidas y el 8,4 % excedía los LMR (35). Los mismos autores (35) revisaron la presencia de plaguicidas organoclorados en el territorio mexicano y encontraron H en zanahoria en el estado de Puebla. Pérez et al. (36) lo reportaron en la piel del xoconostle, un fruto de consumo humano y animal. Los autores ratificaron una clara vinculación entre las aplicaciones para controlar plagas frecuentes en dicho cultivo y los residuos que se calcularon en 0,60 ± 0,09 ng.g-1 para el H y 0,37 ng.g-1 para el EH (36).
Tabla 4.
Residuos de heptacloro y epóxido de heptacloro en recursos abióticos y en matrices biológicas./ Heptachlor + heptachlor epoxide residues in abiotic and biotic media.
Durante los años 2006 a 2018 se han reportado datos fuera del territorio nacional sobre el contenido de H en recursos abióticos, como el agua, el suelo y los sedimentos lacustres o marinos, así como bióticos en peces y en alimentos como la leche. Estos datos estiman bajas concentraciones del plaguicida heptacloro (37,38,39,40,41,42). De manera particular, Chang (42) dio valores entre 0,09 y 2,74 ng.g-1 en barracuda y salmón, los cuales significan menos de 1 % de la ingesta aceptable diaria establecida por la FAO/OMS. Aunque su consumo se consideró sin riesgo, los efectos en la salud son reales por la bioacumulación a través de las cadenas tróficas y porque la ruta primaria de la exposición de los humanos a los plaguicidas es la ingesta de alimentos grasos de alto consumo como la leche y derivados, carne y pescado.
Dobrinas et al. (43) reportaron la presencia en bajas concentraciones de heptacloro (0,001-0,320 µg/kg) junto con otros 36 compuestos en leche en polvo en Romania, la cual se emplea en formulaciones infantiles. Si bien los autores refieren que todas las muestras lo contenían, aseguran que el contenido se encontró por debajo de las normas de la Unión Europea (43). En 114 muestras de leche pasteurizada en Colombia reportaron una frecuencia de H de 95,7 % y concentración de 0,22 ± 0,053 µg/g. En 33,3 % de las muestras, la suma de H+EH estuvo arriba de la norma internacional del Codex Alimentarius. Su presencia se le vincula con cultivos de granos maíz y sorgo con los cuales se preparan ensilajes y concentrados alimenticios (44). Por otro lado, la leche de mujeres tunesinas estuvo por debajo del límite de detección del compuesto medido por cromatografía de gases acoplada a espectrometría de masas (45).
Acciones del heptacloro sobre la salud
Los efectos de la exposición de los organismos al heptacloro están vinculados con su farmacocinética. El compuesto se absorbe por vía oral, respiratoria y dérmica, se distribuye en los tejidos, especialmente en el adiposo; se transforma y, en parte, se degrada en el hígado y se excreta por la leche durante la lactancia y en bajas proporciones por heces y orina. En su conjunto, se ven afectadas estructuras y funciones celulares (14).
El heptacloro se distribuye selectivamente en órganos, tejidos y compartimentos celulares (11). La acción del tóxico pasa del nivel físico de contacto al nivel histológico, después al compartimento celular y vectorialmente al nivel molecular. Su cinética de epoxidación en hepatocito de rata se ha calculado en 3,9 años, la cual involucra la inducción de mecanismos oxidantes. En la membrana plasmática puede unirse a receptores específicos, activar señales de transducción en citoplasma, llegar hasta la membrana nuclear, penetrarla y expresar o reprimir ciertos genes. También puede unirse a bases específicas del ADN y perturbar la lectura de la ADN-polimerasa con un efecto mutagénico (46).
La farmacodinamia del heptacloro involucra rutas de transformación y fases de destoxificación donde participan sistemas moleculares complejos, las condiciones puntuales de cofactores, la producción de especies reactivas de oxígeno y las respuestas colaterales. En cierta medida, el tóxico se excreta y otra fracción se acumula en tejido adiposo, por su elevado log Kow de 5,4. En la etapa de lactancia, por inducción hormonal se movilizan las grasas desde el tejido adiposo hasta la sangre y el tóxico se excreta en la leche (47).
Daños a la salud por el heptacloro
La presencia del H se vincula con actividades perniciosas en los sistemas biológicos. Al realizar estudios toxicológicos causados por el heptacloro y su metabolito principal, se ratifican los efectos adversos a la salud. Diversos autores han analizado acciones tóxicas del H y del EH sobre la funcionalidad metabólica (48).
Se registran estudios que han considerado un relevante impacto sobre el sistema inmune (49), como disruptor endocrino, metabolismo lipídico, transporte de glucosa (50), sobre procesos reproductivos (51), sistema nervioso central (52, 53); mientras que otros autores le atribuyen efecto genotóxico (54,55,56). La genotoxicidad del heptacloro también ha sido estudiada por Prado et al. (57). Los autores midieron su acción con la ruptura de una hebra del ADN mediante electroforesis de una sola célula (ESSC) y la citotoxidad mediante la formación de micronúcleos en células binucleadas. De sus resultados, estimaron que las exposiciones al compuesto en concentraciones entre 10 y 100 µM degradaban al ADN, pero no generaban un daño fijo en los cromosomas de la línea celular TK6 (57). En el estado Guerrero, México, Carbajal et al. (58) estimaron los daños citotóxicos y genotóxicos en jornaleros agrícolas con las pruebas de Comet y micronúcleos (58). La Agencia Internacional de Investigación en Cáncer (IARC) lo ha clasificado en el grupo 2B como probable carcinógeno en humano (59).
Los mecanismos más frecuentes que ejerce el plaguicida heptacloro son la producción de especies reactivas de oxígeno y de nitrógeno (ROS y RNS) con la generación de estrés oxidante, inhibiciones enzimáticas en procesos de desintoxicación en la fracción microsomal de la célula, desbalance hormonal en glándulas de tiroides, suprarrenales y gonadales. Participa también en el desbalance entre proliferación celular y apoptosis, mediante factores de transcripción y miembros de la familia de Bcl-2. Otro mecanismo estudiado para el H es su intervención alterando o inhibiendo procesos de reparación del ADN (49,58).
Desde la perspectiva de los daños al genoma animal, se declaró que el heptacloro y el EH eran inequívocamente carcinogénicos en rata y ratón (60). Reuber, desde 1987 había estudiado su efecto en carcinoma hepático y señaló la aparición de neoplasmas diversos y atrofia de los testículos en ratas macho. También expresó la aparición de tumores, tanto benignos como malignos, en glándulas endocrinas, especialmente en las hembras, y señaló neoplasmas en tiroides e hipófisis. Adicionalmente a los daños genéticos, se mostraron daños graves de trombosis, miocarditis, nefritis, encefalitis y hepatitis en la misma especie. Los estudios de Vromman et al. (40) clasificaron al H en la categoría 3 de contaminantes genotóxicos y/o carcinogénicos, con menor severidad que el cadmio, que ocupa el grupo 2 (56).
Técnicas de detección de concentraciones de heptacloro y épóxido de heptacloro
Los recursos metodológicos en las determinaciones analíticas de los plaguicidas son de alta especificidad y resolución, ya que las cantidades que se miden son pequeñas y los efectos sobre la salud, precisos. Las características analíticas son reglamentarias y se robustecen con análisis estadísticos. Los procedimientos analíticos tienen las fases de separación del plaguicida, purificación de los analitos a medir y cuantificación de los mismos. Para la separación del plaguicida se emplean diversos procedimientos de extracción; uno de ellos utiliza absorbentes de fibra de vidrio, polietileno-covinilacetato (61). En la purificación del analito a medir se emplean matrices de alta selectividad y en la cuantificación se optan las recomendaciones oficiales obligatorias por la cromatografía de gases con detector de captura de electrones. Las confirmaciones con espectrometría de masas GC-MS son opciones de mayor valor (62). El desarrollo de los métodos QeEChERS en la obtención de los datos es otro modelo que ofrece rapidez, eficiencia y bajo costo (63). El desarrollo de biosensores con detectores electroquímicos que emplean nanomateriales de grafeno, ha logrado estimar concentraciones de 1 x 10-13 M de plaguicidas (64), capacidad analítica que ha permitido avanzar hacia un acercamiento sucesivo de las funciones celulares que se ven comprometidas con exposiciones a xenobióticos.
Los avances metodológicos han permitido estimar proporciones traza de xenobióticos en los diversos medios, lo cual ha favorecido encontrar relaciones más estrictas entre las estructuras moleculares de estas sustancias o sus metabolitos y las acciones que estas ejercen sobre la especificidad de los tejidos vivos.
La vinculación entre la agricultura intensiva y el empleo de plaguicidas es vigente y relevante. Debido a sus aplicaciones masivas se hace manifiesta su persistencia y bioacumlación, por lo cual aún se les considera ubicuos. En el caso del heptacloro, se ha documentado su acción adversa sobre la salud. No obstante a ese riesgo particular, este se amplifica cuando se aplica con otras familias de compuestos, como los organofosforados, carbamatos, nicotinoides, benzilureas, sulfonilureas, triazinas y piretroides, con el objeto de controlar plagas y aumentar los rendimientos en los cultivos. Riwthang et al. (65) han calculado que el 1 % de incremento en la producción global de ganancias/ha se vincula con 1,8 % de plaguicidas/ha.
Dada la complejidad de las condiciones geográficas, climáticas y geopolíticas junto a la propia naturaleza del plaguicida, los sistemas de salud y las relaciones internacionales del mercado de los plaguicidas, no es posible generalizar una condición actual. Su condición es específica y local. Su presencia depende de sus características fisicoquímicas y de la magnitud de sus aplicaciones, así como de los factores socioeconómicos y las normativas sanitarias. En algunas localidades mexicanas se aprecia una disminución del contenido de estos plaguicidas ciclodiénicos y las razones son diversas: i) su alta toxicidad, ii) los organofosforados son de aplicación más abundante o iii) por motivos de disponibilidad. No por esta disminución en su uso, las comunidades de organismos están exentas de problemas de salud, ya que ningún xenobiótico es inocuo y, por tanto, persisten problemas de salud manifiestos en intoxicaciones y decesos, así como la contaminación ambiental.
Los avances en el conocimiento de agentes epigenéticos, como son los xenobióticos, abren un panorama para conocer con mayor amplitud los procesos de deterioro celular, fisiológico, metabolómico y sistémico sobre la vida en el planeta. Vigilar los contenidos de estos compuestos y su posible coordinación entre autoridades, productores y los centros de investigación puede ser una alternativa de conocimiento y solución al problema de contaminación ambiental en los ecosistemas, así como de los efectos tóxicos sobre las comunidades.


